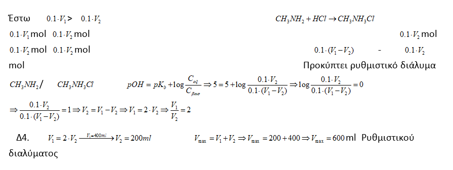
Για την καλύτερη προετοιμασία των υποψηφίων ενόψει των πανελλαδικών εξετάσεων παρουσιάζουμε προτεινόμενα θέματα για τα υπό εξέταση μαθήματα.



ΑΠΑΝΤΗΣΕΙΣ




Τα θέματα και τις απαντήσεις επιμελήθηκε το φροντιστήριο Ορόσημο Πειραιά
- Η παραχώρηση εδαφών θα ήταν «απαράδεκτη», λέει ο αρχηγός των ενόπλων δυνάμεων της Ουκρανίας
- Κέρκυρα: Υπό την επήρεια αλκοόλ η 48χρονη που έπεσε με ΙΧ σε ποτάμι – Νεκρή η μητέρα της στη θέση του συνοδηγού
- Αυτόκλητοι «τιμωροί παιδόφιλων» ξυλοφορτώνουν ανθρώπους – Το μυστήριο τριών επιθέσεων και όσα ξέρει για αυτούς η Αστυνομία







