Στο μάθημα της Άλγεβρας εξετάστηκαν οι μαθητές των Επαγγελματικών Λυκείων (ΕΠΑΛ), μετά το μάθημα των Νέων Ελληνικών
Δείτε εδώ τα θέματα της Αλγεβρας.
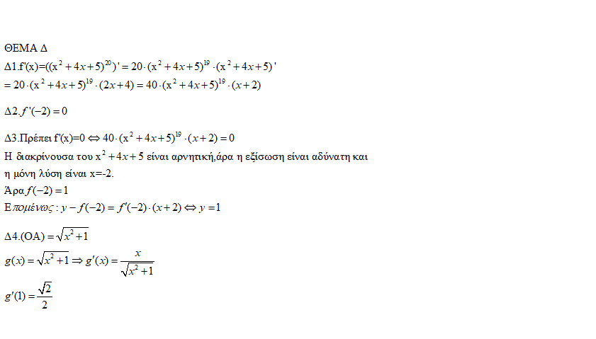
Δείτε εδώ τις απαντήσεις στην Αλγεβρα
Δημοσιεύουμε τις απαντήσεις των θεμάτων της Αλγεβρας που εξετάστηκαν οι υποψήφιοι μαθητές των Επαγγελματικών Λυκείων.









