Για την καλύτερη προετοιμασία των υποψηφίων ενόψει των Πανελλαδικών Εξετάσεων, το nea.gr παρουσιάζoυν προτεινόμενα θέματα για τα υπό εξέταση μαθήματα.

Παρακάτω μπορείτε να δείτε προτεινόμενο θέμα για το μάθημα των Μαθηματικών Προσανατολισμού.

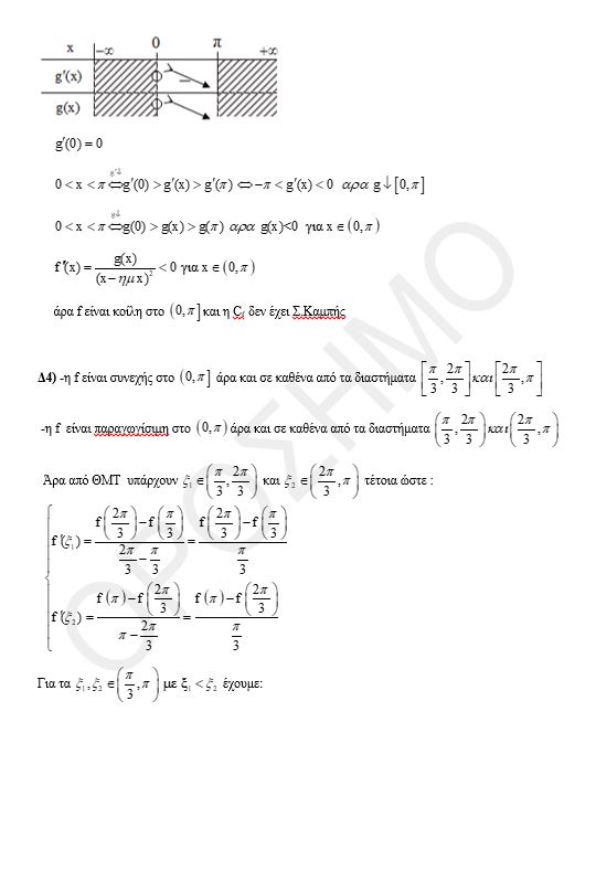
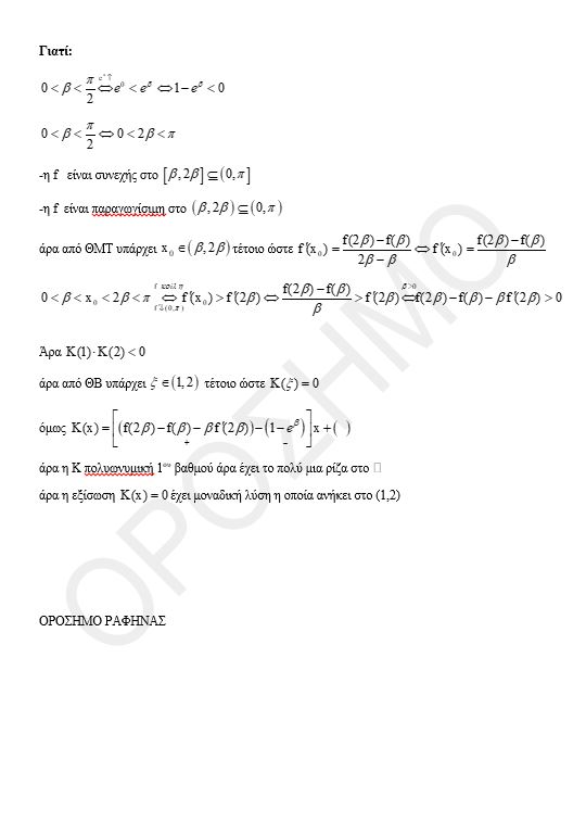
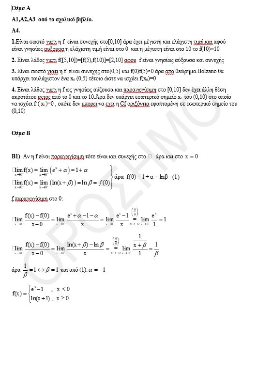
Προτεινόμενο θέμα

ΑΠΑΝΤΗΣΕΙΣ ΓΙΑ ΤΟ ΠΡΟΤΕΙΝOΜΕΝΟ ΘΕΜΑ

Με τη συνεργασία του φροντιστηρίου Ορόσημο Ραφήνας