Για την καλύτερη προετοιμασία των υποψηφίων ενόψει των πανελλαδικών εξετάσεων τα nea.gr παρουσιάζει προτεινόμενα θέματα για τα υπό εξέταση μαθήματα.
Παρακάτω μπορείτε να δείτε προτεινόμενο θέμα Πανελληνίων εξετάσεων Φυσική Προσανατολισμού Γ’ Λυκείου, με το παλαιό σύστημα.
Θέματα
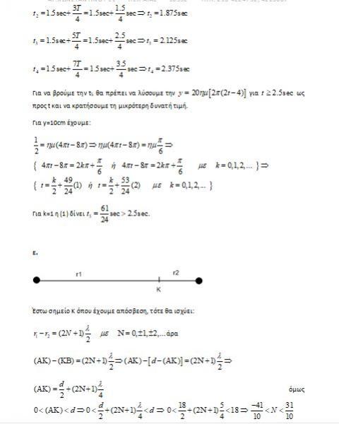
Λύσεις
Με συνεργασία του φροντιστηρίου Ορόσημο.



